DE
|
EN
> Linker und Spacer
Cystein (tbuSS) (5' modification)
Die Aminothiol-Modifikation Cystein reagiert mit Cyanobenzothiazol und kann auf diese Weise effektiv verschiedene Biomoleküle miteinander verbinden.
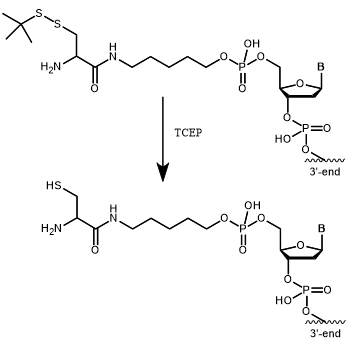
Zum Schutz der freien reaktiven Thiolgruppe wird das Cystein in geschützter Form (Cystein mit StBu Schutzgruppe) geliefert. Vor weiteren Konjugationsschritten muss dem Kunjugationspuffer ein geeignetes Reduktionsmittel (z.B. TCEP) zugesetzt werden, um das Disulfid des Cysteins zu reduzieren und die Thiolgruppe freizusetzen.
Zum Schutz der freien reaktiven Thiolgruppe wird das Cystein in geschützter Form (Cystein mit StBu Schutzgruppe) geliefert. Vor weiteren Konjugationsschritten muss dem Kunjugationspuffer ein geeignetes Reduktionsmittel (z.B. TCEP) zugesetzt werden, um das Disulfid des Cysteins zu reduzieren und die Thiolgruppe freizusetzen.
5´-Cysteine with StBu protecting group requires treatment with TCEP to obtain free, reactive cysteine.