> Linker und Spacer
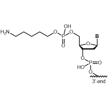
Aminolink C5 (5' modification)

Aminolink C5 5' modification: 5'-Aminolink C5
5'-Aminolink C5