
DE
|
EN
> Haptene
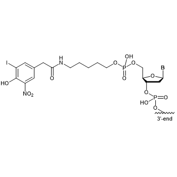
NIP (4-Hydroxy-3-iodo-5-nitrophenylacetamide) (5' modification)

5'-NIP