
DE
|
EN
> Phosphorylierung
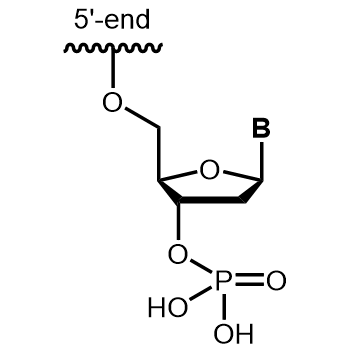
Phosphate (3' modification)

3´-Phosphate