
DE
|
EN
> Haptene
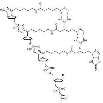
Triple Biotin Prolinol (5' modification)

5´-Triple Biotin Prolinol