
DE
|
EN
> Haptene
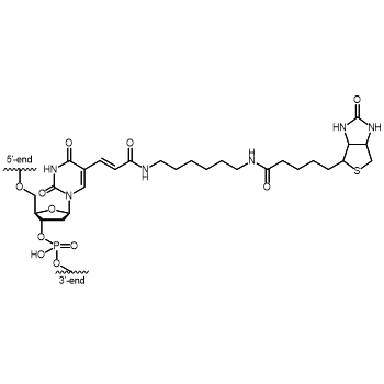
Biotin dT (Internal modification)
Here, the internal modification is attached via an amino-dT building block.

Chemical structure of dT-Biotin bound to an oligonucleotide