
DE
|
EN
> Haptene
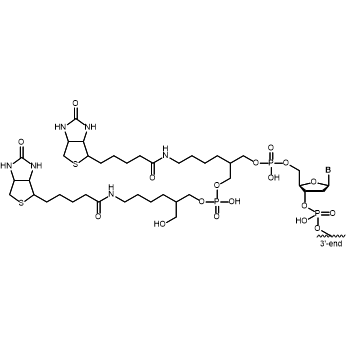
Dual Biotin (5' modification)
The dual-biotin modification adds two biotins to the 5’-end of the oligo. As both biotins can bind simultaneously and in a cooperative manner to two of the four binding sites on the streptavidin, an even stronger biotin/streptavidin interaction is achieved.
Dual-biotin is used in methods that include a thermal denaturation step (e.g. PCR) with streptavidin-anchored probes or templates. It is commonly used in SAGE protocols.

5´-Dual Biotin